ППР48
 

Технологическая карта на монтаж конструкций металлических в Казани

ТК на монтаж конструкций (ЗАГРУЗИТЬ вариант) входит в состав ППР либо разрабатывается в виде отдельного документа. 
Область применения ТК - работы по возведению металлических и железобетонных конструкций, стеновых панелей, оборудования, кранов и т.д.
технологическая карта на монтаж конструкций металлических

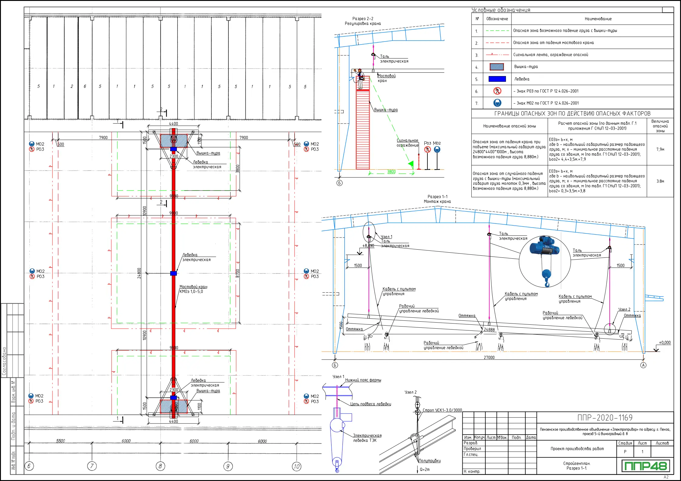
Технологическая карта на монтаж металлоконструкций

Технологическая карта на монтаж металлоконструкций представляет собой ТК для кранов (работа грузоподъемной техники), дополненную такими разделами, как укрупнительная сборка МК и устройство монтажных соединений. Среди всех типов  соединений, используемых в процессе возведения КМ, наибольшее распространение получили такие соединения, как болтовые, сварные и заклепочные. В процессе устройства соединений на отметках выше 1.8 метров от уровня земли, возникает необходимость в использовании строительных подмостей, подъемников с люльками и средств индивидуальной защиты от падения с высоты. Технологические карты на монтаж металлических конструкций классифицируют по типам монтируемых конструкций.

Сколько стоит разработка технологической карты на монтаж?

Монтаж осуществляемый вручную

Формат PDF
От 13.000р.
Выполняется для описания работ по устройству легких конструкций вручную. Содержит все необходимые разделы, таблицы, графики, схемы. Разрабатывается в короткие сроки.

Монтаж с использованием техники

Формат PDF
От 22.000р.
Выполняется для описания работ по строительству крупногабаритных тяжелых конструкций. Содержит П.З, таблицы, графики, схемы строповки и складирования грузов, схемы движения техники.

Наши проекты

Отзывы наших клиентов

ПОЛУЧИТЕ
КОММЕРЧЕСКОЕ
ПРЕДЛОЖЕНИЕ

ГАРАНТИРУЕМ
100% СОГЛАСОВАНИЕ

СРОК ИЗГОТОВЛЕНИЯ
ОТ 2-х ДНЕЙ

ПРЕДЛАГАЕМ
ИНДИВИДУАЛЬНЫЙ ПОДХОД

  • Вам нужны качественные услуги, для получения согласования со 100% гарантией?
  • Требуется выполнить пояснительные записки и чертежи не только для проверок, но и для использования на объекте?
  • Необходимо сориентироваться по стоимости разработки строительной документации?

Ответьте на несколько вопросов по вашему проекту и получите коммерческое предложение, оптимизированное под ваш случай!

Также наша компания занимается созданием технологических карт (ТК) на погрузо-разгрузочные работы