Что мы обязательно включаем в ППРк
Мы включаем в ППРк разнообразные документы и схемы, которые охватывают различные аспекты применения подъемных сооружений на строительном производстве. Важно понимать, что каждый из этих документов играет свою уникальную роль в обеспечении безопасности и эффективности работ с подъемными сооружениями.
Среди них:
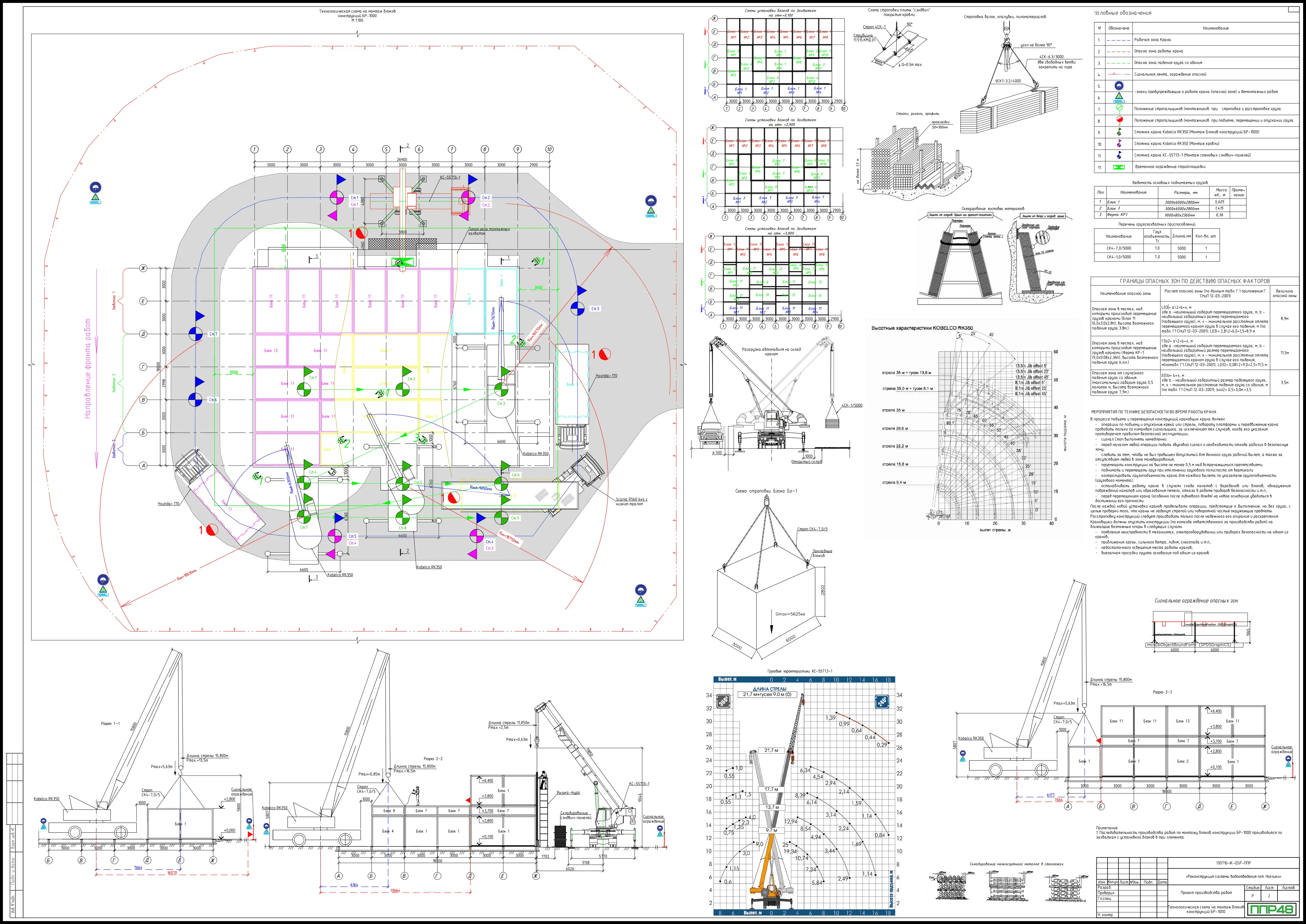
Технологическая карта на работу с подъемными сооружениями является составной частью проекта ППРк или может представлять собой отдельный документ типизированной формы. Технологическая карта описывает последовательность выполняемых работ с подъемными сооружениями и устанавливает специфические требования и процедуры, необходимые для безопасного выполнения этих работ.
Инструкции для машиниста ПС, стропальщика и сигнальщика представляют собой должностные инструкции, которые определяют роли и обязанности работников, выполняющих конкретные функции при работе с подъемными сооружениями. Эти инструкции содержат руководства и рекомендации по безопасному использованию, настройке и обслуживанию подъемных сооружений.
Схемы строповки являются графическими документами, которые разъясняют особенности правильного способа строповки различных грузов на строительном объекте. Они предоставляют информацию о выборе и расположении стропов, обеспечивая безопасное подъемное действие, особенно когда отсутствуют аналогичные схемы от производителя груза.
Схемы кантовки также являются графическими документами и предоставляют информацию о правильном способе кантовки крупногабаритных грузов, укрупненных элементов или собранных частей конструкции на строительном объекте. Они помогают обеспечить безопасное и эффективное подъемное действие в случаях, когда такие схемы отсутствуют в других документах.
Схемы совместной работы двух и более подъемных сооружений также являются графическими документами, которые разъясняют особенности безопасного подъема грузов с использованием нескольких подъемных сооружений. Они содержат инструкции по безопасности и рекомендации для работы в случаях, когда зоны действия подъемных сооружений пересекаются.
Все эти разделы ППРк способствуют безопасности и эффективности работ с подъемными сооружениями на строительном производстве. Они обеспечивают систематический подход и четкую организацию для обеспечения безопасности персонала и оборудования, а также соблюдения нормативных требований в процессе работы с подъемными сооружениями.
Состав ППРк
Утверждённого состава ППРк на данный момент не существует, каждый документ разрабатывается индивидуально под конкретные условия площадки строительства, применяемых ПС и выполняемых ими работ.
В любом случае документ должен сдержать пояснительную записку, а в подавляющем большинстве случаев в составе ППРк должен быть стройгенплан, в котором в частности будут казаны местанахождения опасных зон в пределах которых размещение санитарно-бытовых помещений строго запрещается. Необходимы схемы производства работ. Для подъёмных кранов разрабатываются схемы строповок, схемы кантовок, схемы погрузки и разгрузки грузов и материалов.
Содержание типового ППРк
- Содержание:
- Лист согласования;
- Лист ознакомления;
- Пояснительная записка:
- Область применения;
- Общие положения;
- Организация производства работ кранами;
- Технология производства работ кранами. Технологическая карта;
- Область применения;
- Монтаж конструкций;
- Методы складирования конструкций и материалов;
- Указания по строповке конструкций и материалов;
- Указания для машиниста крана;
- Указания ведения погрузочно-разгрузочных и монтажных работ;
- Таблица масс грузов;
- Монтаж средств подмащивания;
- Заключительные работы;
- Требования к качеству работ;
- Потребность в материально-технических ресурсах;
- Технико-экономические показатели;
- Техника безопасности и охрана труда:
- Общие указания:
- Требования безопасности при погрузо-разгрузочных работах;
- Техника безопасности при работе на высоте;
- Техника безопасности при работе со средств подмащивания;
- Электробезопасность;
- Пожарная безопасность;
- Мероприятия по охране окружающей среды;
- Графики:
- Календарный план производства работ;
- График движения рабочих кадров по объекту;
- График движения строительной техники;
- График поступления на объект строительных конструкций, изделий, материалов и оборудования;
- Ведомость ссылочных документов;
- Приложения
Правила разработки ППРк
Правила разработки ППРк, помимо законодательства России, диктует руководящий нормативный правовой документ – ФНП ПБ ОПО ПС, который предусматривает вопросы обязательные для рассмотрения и решения в рамках работы ПС на площадке. В первую очередь это вопросы безопасности во время монтажа, обслуживания, наладки, работы, ремонта и демонтажа ПС. Кроме этого, устанавливаются правила поверки и выбраковки тары, грузозахватных приспособлений, включая стропы.
Разработкой ППРк, ППР, Тк или иной ОТД рассматривающей применение ПС должно выполняться лицами, аттестованными Ростехнадзором на разработку подобных документов.
Особенности согласования ППРк
В соответствии с действующими правилами, проекты производства работ (ППР), связанные с подъемом и транспортировкой людей с использованием подъемных сооружений (ПС), должны быть разработаны с соблюдением требований промышленной безопасности, изложенных в Федеральных нормах правил (ФНП) "Правила безопасности при обслуживании подъемных сооружений" и согласованы с территориальными органами Ростехнадзора. В остальных случаях достаточно утверждения документа со стороны владельца ПС и эксплуатирующей организации. Обязательная экспертиза подобных проектов не требуется.
Необходимо отметить, что для ППР, связанных с работой грузоподъемных кранов, передвигающихся по рельсовому пути или в охранной зоне воздушных линий электропередачи, требуется согласование с владельцами ЛЭП.
Кроме того, ППРк должен быть согласован с владельцами эксплуатируемого недвижимого имущества, по которому будет производиться перемещение груза. Это особенно актуально в случае работы на действующих предприятиях или в местах расположения линейных объектов инфраструктуры.
Таким образом, при разработке ППРк необходимо учитывать требования промышленной безопасности, согласовывать проекты с соответствующими органами, владельцами ЛЭП и эксплуатируемым имуществом, чтобы обеспечить безопасность и эффективность работ, связанных с подъемными сооружениями.
ППР с применением ПС в 2026 году
Обеспечение безопасности работы с подъемными сооружениями в опасных производственных условиях является главной задачей организационно-технической документации (ОТД). ОТД включает в себя проекты производства работ подъемными сооружениями (ППРк) и аналогичные документы. Основная цель таких документов заключается в предотвращении возможных вредных последствий и обеспечении безопасности работы с подъемными сооружениями.
В рамках разработки ОТД уделяется особое внимание следующим элементам:
- Зоны обслуживания подъемных сооружений - места, где осуществляется перемещение рабочих органов и грузов, включая зоны кантовки и разворота грузов. Для работы с подъемниками указываются зоны обслуживания люльки или платформы, а также ярусы остановок.
- Опасные зоны работы подъемных сооружений - включают расстояния от возможного падения поднятых предметов (грузов), которые рассчитываются в соответствии с формулой, определенной в ФНП ПБ ОПО ПС. Опасные зоны работы также включают расстояния от движущихся частей и механизмов подъемных сооружений, а также от опасных приближений рабочих органов и груза к твердым поверхностям и другим подъемным сооружениям. Работа вблизи линий электропередач, высоких деревьев, мачт и действующих железных и автомобильных дорог также является опасной зоной работы ПС.
- Ограничения высоты подъема, опускания или поворота рабочих органов подъемных сооружений - в случае работы в ограниченных пространственных условиях, при недостаточной видимости или для снижения опасных производственных факторов.
- Подготовительные инженерно-технические мероприятия для установки или монтажа подъемных сооружений.
- Требования к установке кранов, включая расчетно-графические характеристики ветровых нагрузок, условия установки ПС вблизи откосов котлованов, габариты мест хранения и другие факторы.
- Другие мероприятия, обеспечивающие безопасность работы с подъемными сооружениями, при необходимости.
Мы придаем особое значение разработке такой специфической ОТД, которая обеспечивает безопасность работы с подъемными сооружениями в опасных производственных условиях, где работники сталкиваются с физическими преградами и другими опасными и вредными факторами. Наша документация стремится предотвратить возможные последствия и обеспечить безопасность работы с подъемными сооружениями.