ППР48

Разработка ППР на монтаж промышленного оборудования в ППР48

От 2 дней. От 30 тысяч рублей. Бесплатное устранение замечаний. 100% гарантия согласования. Проект входит в линейку документов для монтажа

Проект производства работ на монтаж-демонтаж технологического оборудования

ППР на монтаж оборудования

Проект производства работ для оборудования — комплексный документ, описывающий технологию, порядок и сроки выполнения строительно-монтажных операций. Документ является детализированным регламентом, предназначенным для оптимизации трудовых затрат, установления требований к приемке результатов работ, описанию мероприятий по безопасности, охране труда, контролю качества. При отсутствии ППР,  приступать к  началу строительно-монтажных операций запрещается. Как правило, проект находит свое применение на территории строящихся, либо действующих фабрик, заводов, цехов предприятий и т.д. Документ является сложной организационно-производственной инструкцией, качественную разработку которой способны обеспечить исключительно опытные специалисты.

Процесс монтажа технологического промышленного оборудования представляет собой погрузочно-разгрузочные работы с элементами устройства монтажных соединений. Соединения устраивают в процессе установки оборудования в проектное положение. Существует более сложная форма обустройства промышленного оборудования. Например, монтаж промышленных резервуаров по типу РВС состоит из значительного количества технологических операций. В данный проект дополнительно включают операции по устройству фундаментов под оборудование, мероприятия по подключению инженерных сетей, испытания и пусконаладку, устройство антикоррозионной защиты оборудования от агрессивного воздействия внешних сред. Этот документ тесно связан с ППР на устройство инженерных сетей.

Когда, кем и зачем готовится?ППР на установку оборудования

ППР готовится до начала монтажа промышленного оборудования. Разработка документации позволит заказчику решить сразу несколько задач:

  • правильно организовать и своевременно приступить к началу рабочих операций;
  • снизить расходы на приспособления, оснастку и материалы путем принятия наиболее эффективных решений;
  • сократить сроки выполнения технологических операций;
  • обеспечить максимальную безопасность и охрану труда благодаря минимизации рисков.

ППР обязательно требуется при установке или монтаже оборудования в пределах населенного пункта, функционирующих предприятий, при сооружении сложных конструкций, важных или опасных объектов. Ответственным за подготовку документации является подрядчик, который может заказать проект в лицензированной компании. 

Особенности разработки ППР на монтаж-демонтаж промышленного оборудования

Проект производства работ на монтаж оборудования должен включать в себя три основных раздела:

1. Пояснительная записка включает в себя:

  • предоставление общей информации об объекте, условиях и требованиях к строительным, технологическим операциям по монтажу агрегатов, механизмов, приспособлений;
  • виды и способы выполнения конкретных операций;
  • порядок сборки, методы проверки точности установки;
  • технологические карты;
  • требования охраны труда.

2. Рабочие графики:

  • календарный план производства работ;
  • график движения грузоподъемной техники, предназначенной для монтажа крупногабаритного тяжелого оборудования;
  • график движения рабочей силы.

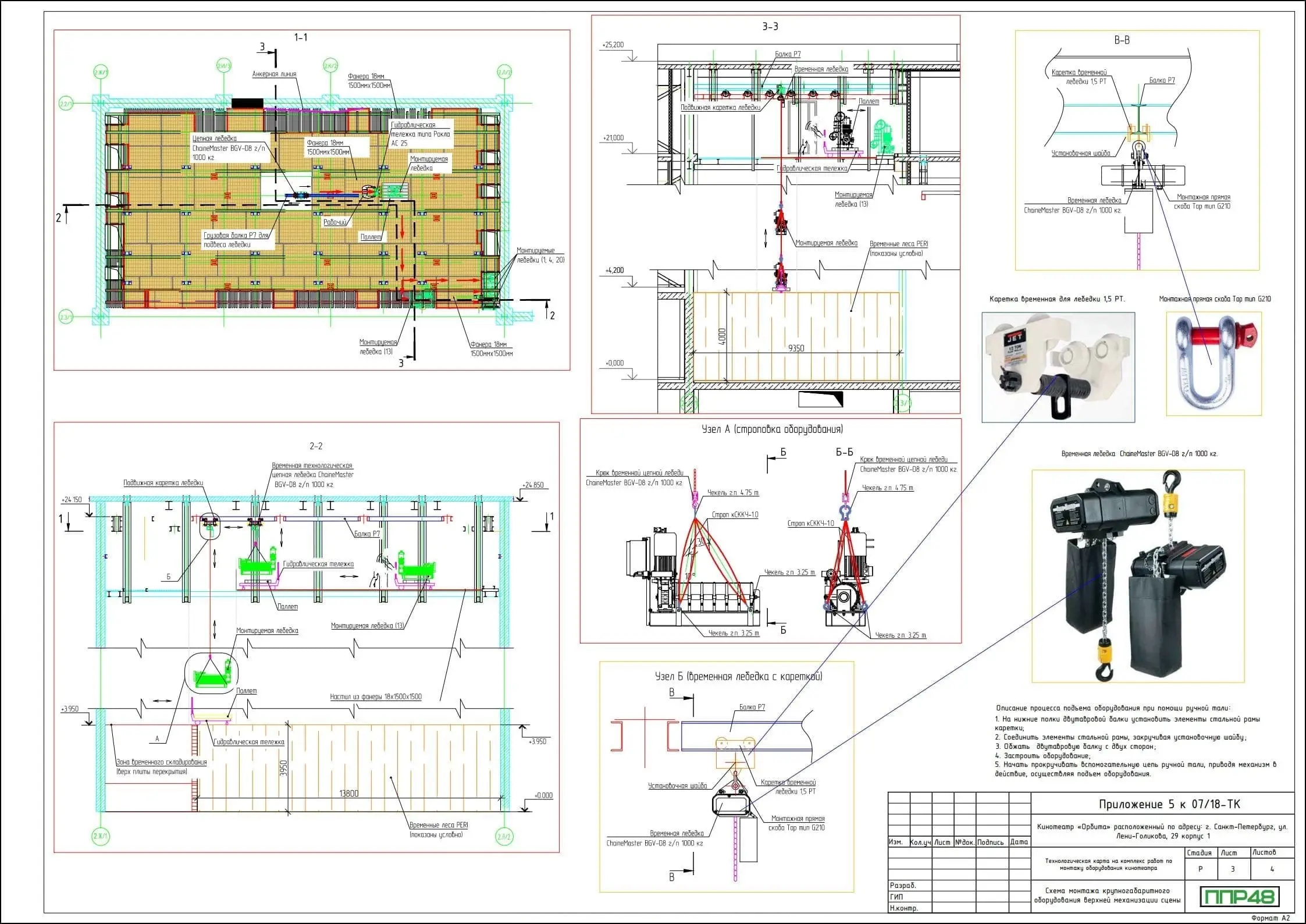
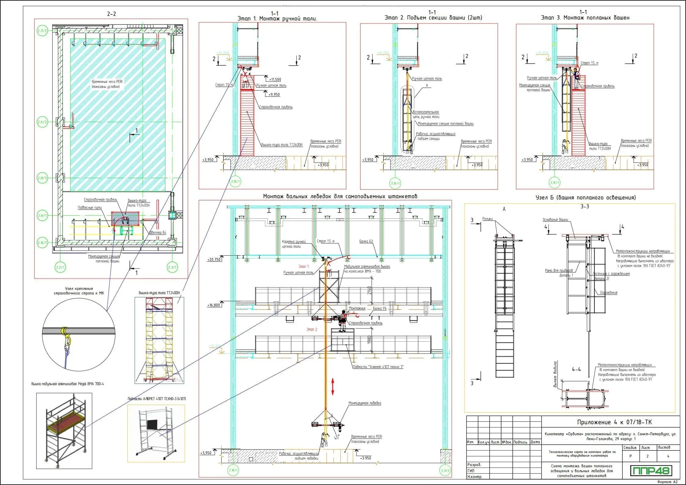
3. Чертежи и схемы:

  • схемы установки грузоподъемной техники;
  • схемы строповки и складирования;
  • монтажные узлы и схемы

Где заказать ППР?

Наша компания оказывает услуги в области разработки ППР на монтаж оборудования по всей России с гарантией 1 год. В течение этого периода возможно внесение изменений или дополнений в проект. Способны выполнять заказы в сжатые сроки. Оптимальные цены и качественные результаты при строгом соблюдении ТЗ, требований МДС 12-81.2007, СП 12-136-2002, МДС 12-29.2006, СП 48.13330.2019, других документов. В штате компании находятся исключительно аттестованные инженеры с опытом от 10 лет. Чтобы задать свой вопрос специалистам или заказать проект производства работ, оставьте заявку на звонок или свяжитесь с нами любым альтернативным и удобным для Вас способом.

Наши проекты

Отзывы наших клиентов

ПОЛУЧИТЕ
КОММЕРЧЕСКОЕ
ПРЕДЛОЖЕНИЕ

ГАРАНТИРУЕМ
100% СОГЛАСОВАНИЕ

СРОК ИЗГОТОВЛЕНИЯ
ОТ 2-х ДНЕЙ

ПРЕДЛАГАЕМ
ИНДИВИДУАЛЬНЫЙ ПОДХОД

  • Вам нужны качественные услуги, для получения согласования со 100% гарантией?
  • Требуется выполнить пояснительные записки и чертежи не только для проверок, но и для использования на объекте?
  • Необходимо сориентироваться по стоимости разработки строительной документации?

Ответьте на несколько вопросов по вашему проекту и получите коммерческое предложение, оптимизированное под ваш случай!

Также наша компания занимается созданием технологических карт (ТК) на погрузо-разгрузочные работы